Официальное опубликование правовых актов
ОФИЦИАЛЬНОЕ ОПУБЛИКОВАНИЕ
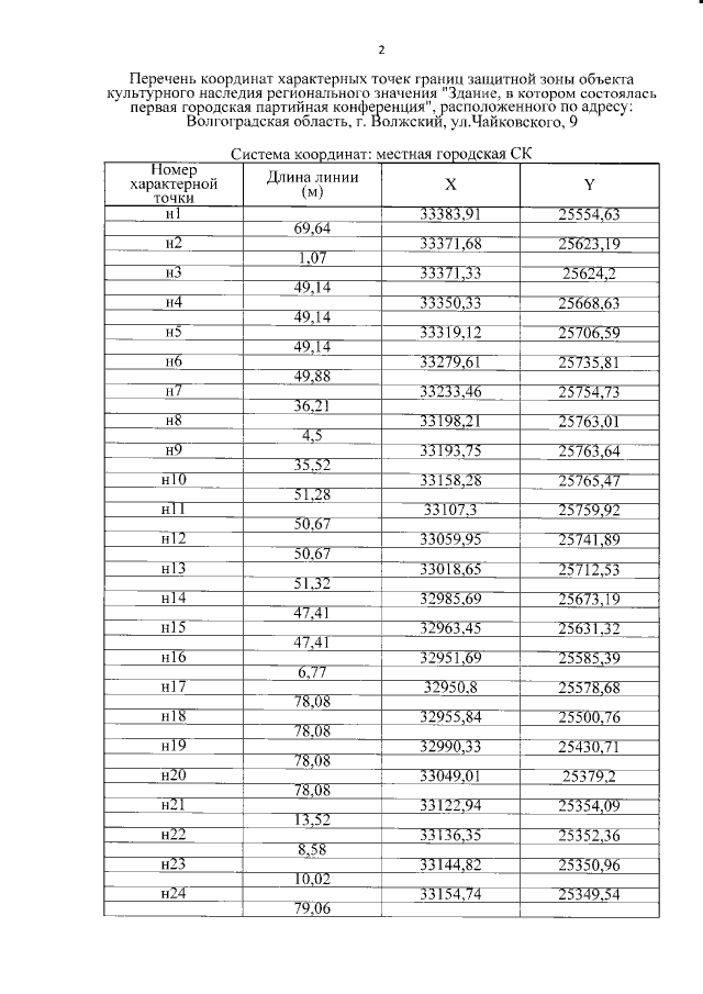
Приказ комитета государственной охраны объектов культурного наследия Волгоградской области от 05.04.2021 № 269
"Об утверждении описания местоположения границ защитных зон объектов культурного наследия, расположенных на территории городского округа город Волжский, Ленинского, Светлоярского, Среднеахтубинского и Старополтавского районов Волгоградской области, режима использования земель в границах защитных зон"
Номер опубликования: 3401202104060001
Дата опубликования: 06.04.2021
Страница №18 из 30:
Увеличить