Приказ комитета государственной охраны объектов культурного наследия Волгоградской области от 03.03.2021 № 122
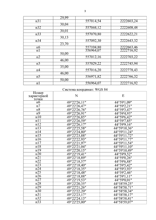
"Об утверждении описания местоположения границ защитных зон объектов культурного наследия, расположенных на территории Дубовского района Волгоградской области, режима использования земель в границах защитных зон"
"Об утверждении описания местоположения границ защитных зон объектов культурного наследия, расположенных на территории Дубовского района Волгоградской области, режима использования земель в границах защитных зон"
Номер опубликования: 3401202103110006
Дата опубликования:
11.03.2021
