Официальное опубликование правовых актов
ОФИЦИАЛЬНОЕ ОПУБЛИКОВАНИЕ
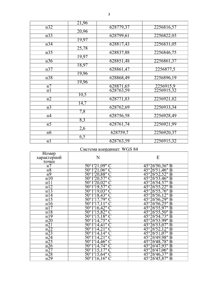
Приказ комитета государственной охраны объектов культурного наследия Волгоградской области от 04.03.2021 № 132
"Об утверждении описания местоположения границ защитных зон объектов культурного наследия, расположенных на территории Николаевского района Волгоградской области, режима использования земель в границах защитных зон"
Номер опубликования: 3401202103090001
Дата опубликования: 09.03.2021
Страница №12 из 42:
Увеличить