Официальное опубликование правовых актов
ОФИЦИАЛЬНОЕ ОПУБЛИКОВАНИЕ
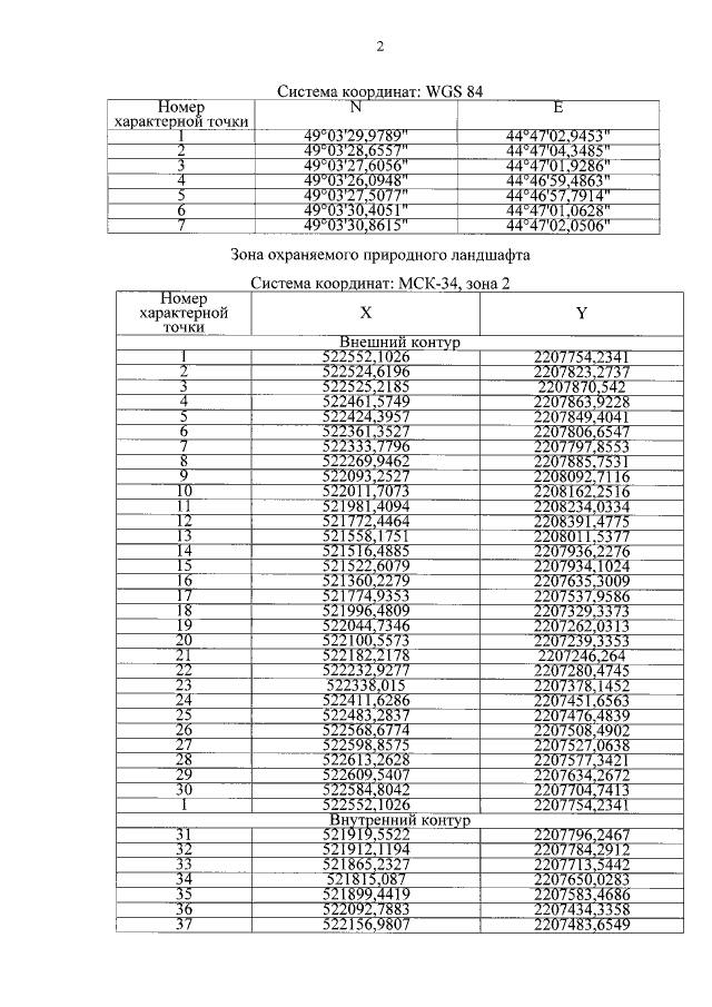
Приказ комитета государственной охраны объектов культурного наследия Волгоградской области от 11.12.2020 № 442
"Об установлении зон охраны объекта культурного наследия регионального значения "Ансамбль застройки монастырь Дубовский Вознесенский (женский)", расположенного по адресу: Волгоградская область, в 3 км от г. Дубовка, утверждении требований к градостроительным регламентам в границах территорий данных зон"
Номер опубликования: 3401202012150005
Дата опубликования: 15.12.2020
Страница №9 из 15:
Увеличить