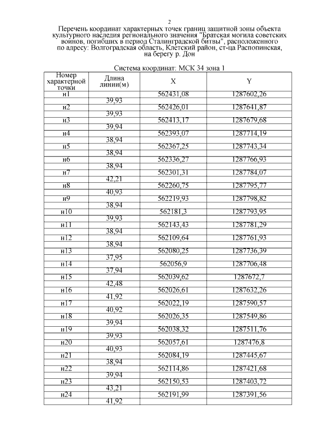
Приказ комитета государственной охраны объектов культурного наследия Волгоградской области от 23.11.2020 № 368
"Об утверждении описания местоположения границ защитных зон объектов культурного наследия, расположенных на территории Клетского района Волгоградской области, режима использования земель в границах данных защитных зон"
"Об утверждении описания местоположения границ защитных зон объектов культурного наследия, расположенных на территории Клетского района Волгоградской области, режима использования земель в границах данных защитных зон"
Номер опубликования: 3401202011250008
Дата опубликования:
25.11.2020
