Официальное опубликование правовых актов
ОФИЦИАЛЬНОЕ ОПУБЛИКОВАНИЕ
Приказ комитета государственной охраны объектов культурного наследия Волгоградской области от 06.11.2020 № 292
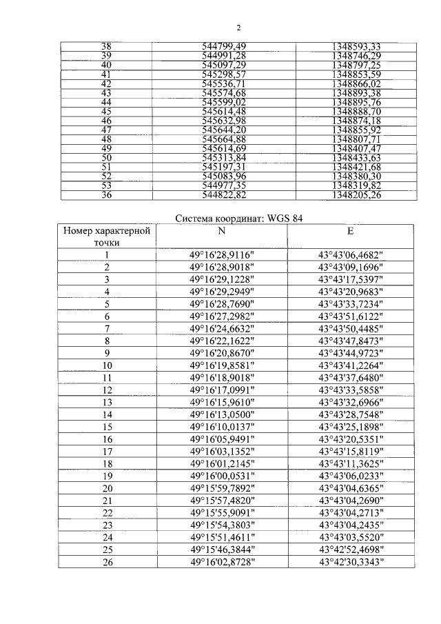
"Об установлении зоны охраны объекта культурного наследия регионального значения "Место переправы через Дон в дни Сталинградской битвы", расположенного по адресу: Волгоградская область, Иловлинский район, юго-западная сторона хутора Белужино-Колдоиров, утверждении требований к градостроительным регламентам в границах территории данной зоны"
Номер опубликования: 3401202011130004
Дата опубликования: 13.11.2020
Страница №7 из 10:
Увеличить