Официальное опубликование правовых актов
ОФИЦИАЛЬНОЕ ОПУБЛИКОВАНИЕ
Приказ комитета государственной охраны объектов культурного наследия Волгоградской области от 19.08.2020 № 177
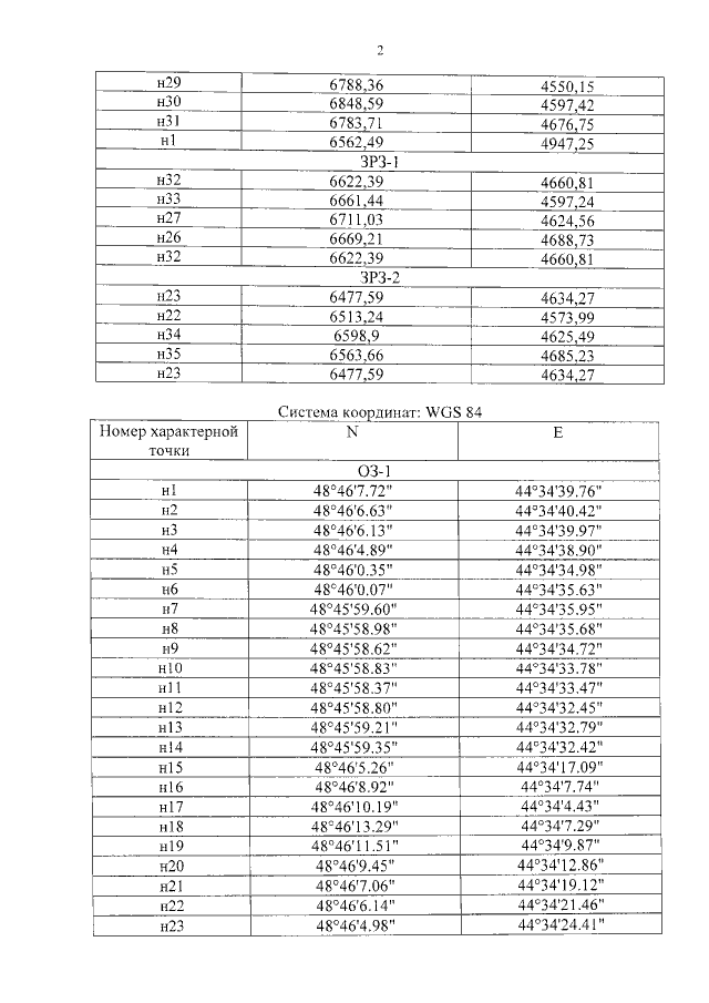
"Об установлении зон охраны объекта культурного наследия регионального значения "Дома жилые мансардные (типовые)", расположенного по адресу: Волгоградская область, г. Волгоград, Краснооктябрьский район, ул. им. капитана Тряскина, 11 - 18; 20 - 50, утверждении требований к градостроительным регламентам в границах территорий данных зон"
Номер опубликования: 3401202008240002
Дата опубликования: 24.08.2020
Страница №8 из 12:
Увеличить