Официальное опубликование правовых актов
ОФИЦИАЛЬНОЕ ОПУБЛИКОВАНИЕ
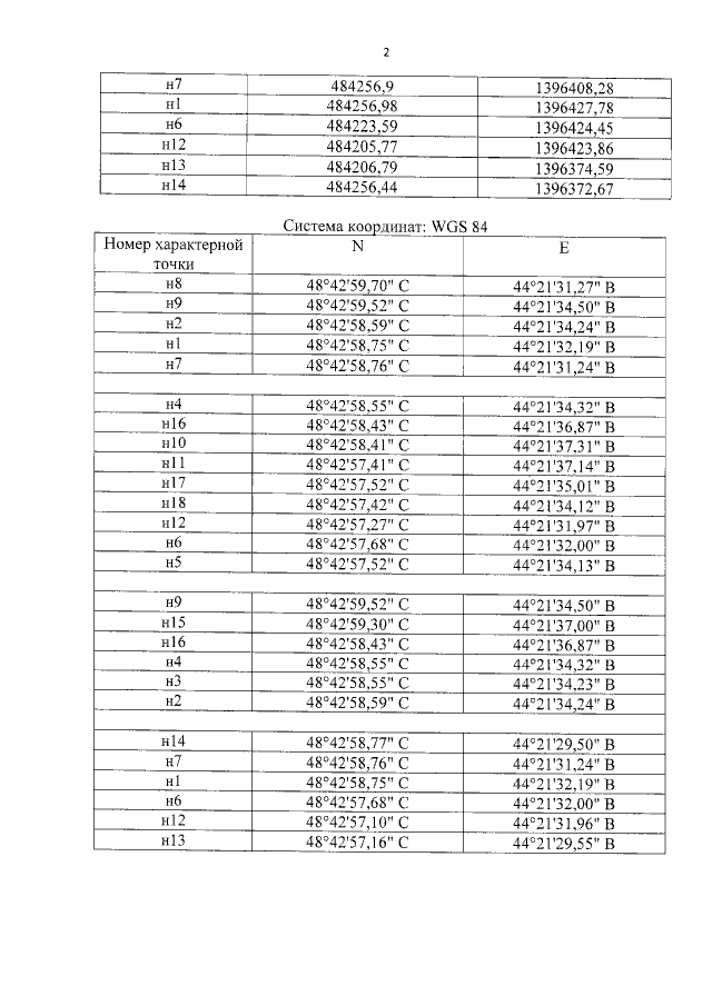
Приказ комитета государственной охраны объектов культурного наследия Волгоградской области от 27.04.2020 № 84
"Об установлении зон охраны объекта культурного наследия регионального значения "Братская могила советских воинов, погибших в период Сталинградской битвы", расположенного по адресу: Волгоградская область, Городищенский район, х. Студено-Яблоневка, утверждении требований к градостроительным регламентам в границах территорий данных зон"
Номер опубликования: 3401202004280016
Дата опубликования: 28.04.2020
Страница №7 из 9:
Увеличить