Официальное опубликование правовых актов
ОФИЦИАЛЬНОЕ ОПУБЛИКОВАНИЕ
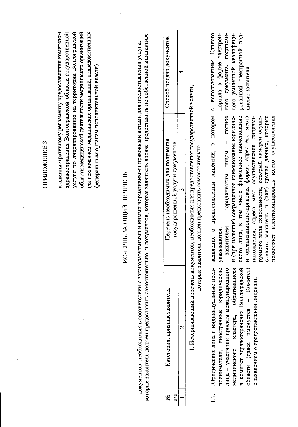
Постановление Губернатора Волгоградской области от 03.02.2026 № 46
"Об утверждении административного регламента предоставления комитетом здравоохранения Волгоградской области государственной услуги по лицензированию на территории Волгоградской области медицинской деятельности медицинских организаций (за исключением медицинских организаций, подведомственных федеральным органам исполнительной власти)"
Номер опубликования: 3400202602050003
Дата опубликования: 05.02.2026
Страница №26 из 38:
Увеличить