Официальное опубликование правовых актов
ОФИЦИАЛЬНОЕ ОПУБЛИКОВАНИЕ
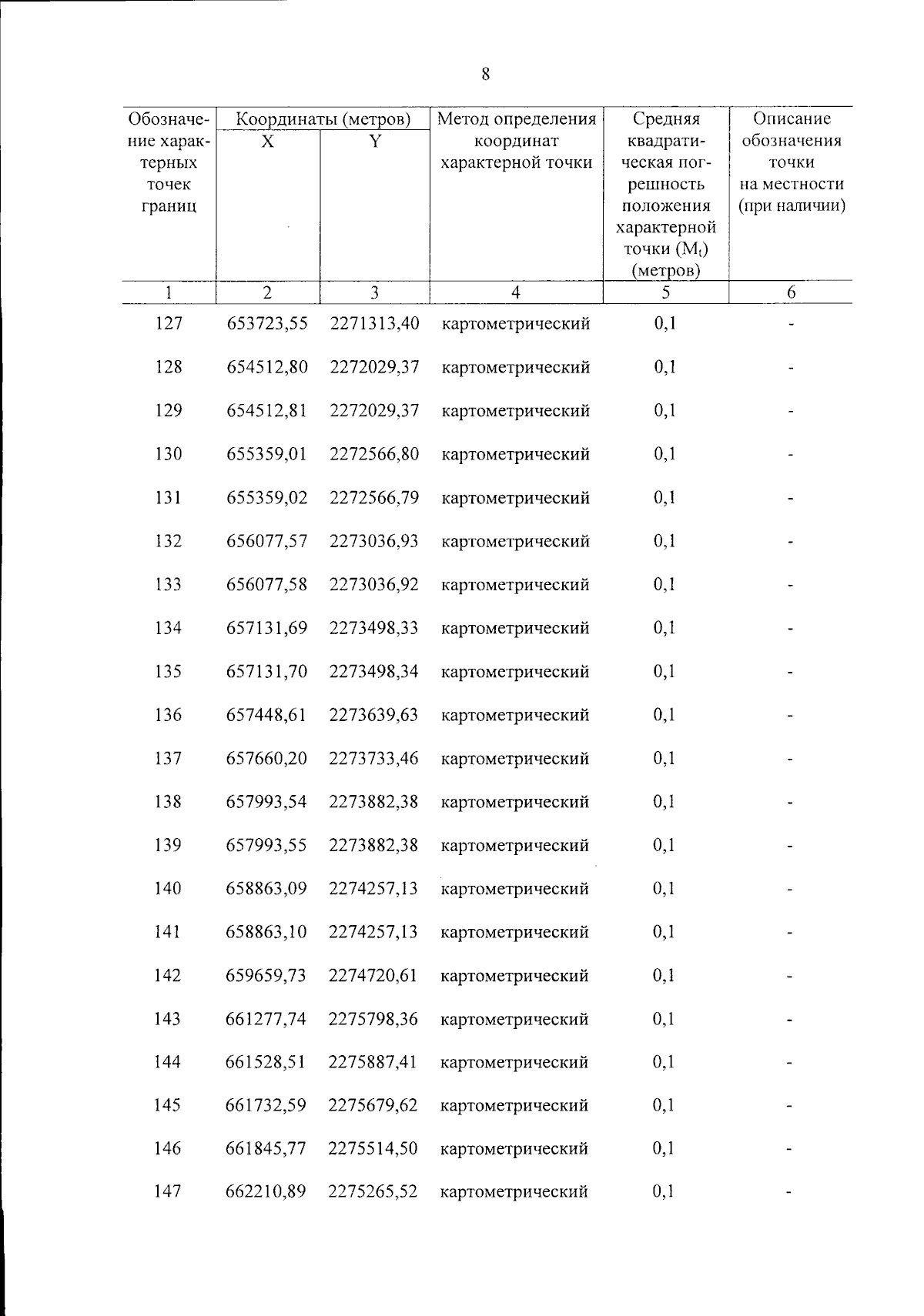
Постановление Губернатора Волгоградской области от 30.08.2024 № 491
"О внесении изменений в постановление Губернатора Волгоградской области от 17 января 2024 г. № 31 "О создании охранной зоны природного парка "Щербаковский"
Номер опубликования: 3400202409020001
Дата опубликования: 02.09.2024
Страница №9 из 45:
Увеличить