Официальное опубликование правовых актов
ОФИЦИАЛЬНОЕ ОПУБЛИКОВАНИЕ
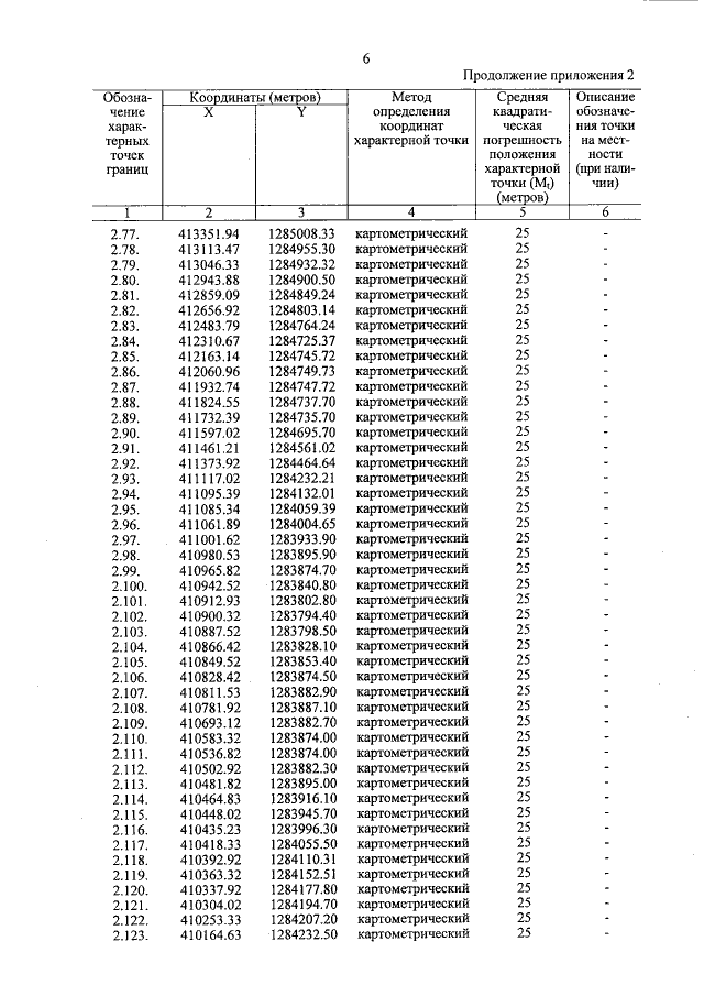
Постановление Администрации Волгоградской области от 09.11.2020 № 687-п
"О внесении изменений в постановление Администрации Волгоградской области от 22 августа 2016 г. № 458-п "Об утверждении Положения о природном парке "Цимлянские пески"
Номер опубликования: 3400202011110008
Дата опубликования: 11.11.2020
Страница №38 из 54:
Увеличить