Официальное опубликование правовых актов
ОФИЦИАЛЬНОЕ ОПУБЛИКОВАНИЕ
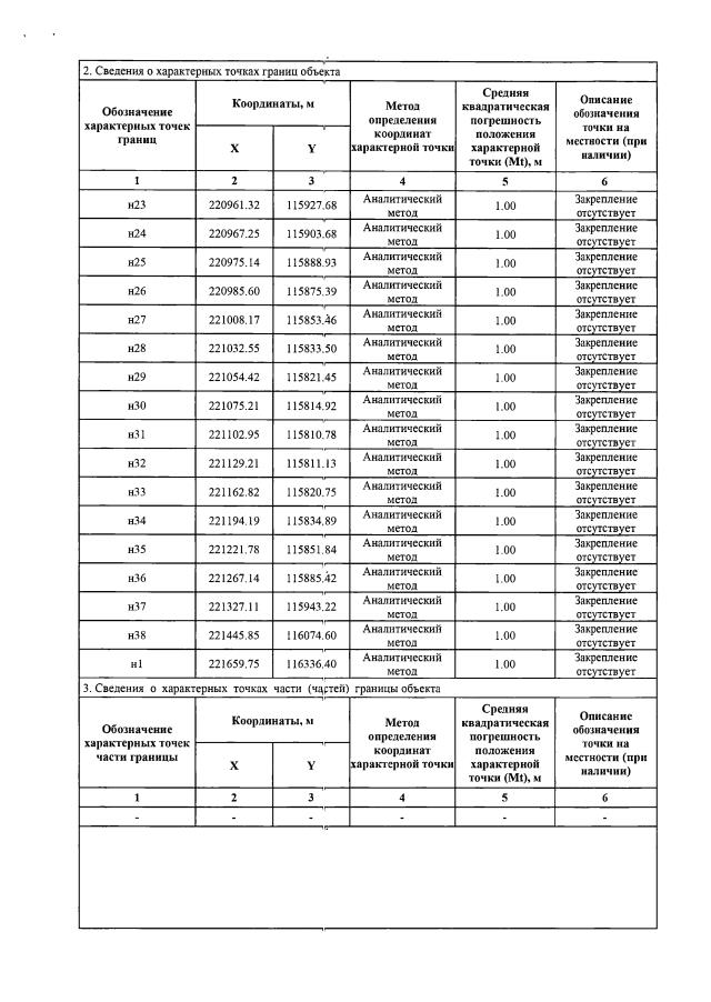
Приказ Министерства природопользования и экологии Владимирской области от 24.01.2023 № 6-н
"Об установлении зон санитарной охраны источников хозяйственно-питьевого водоснабжения Московской дирекции по теплоснабжению – СП ЦДТ – филиала ОАО "РЖД"
Номер опубликования: 3301202301240004
Дата опубликования: 24.01.2023
Страница №27 из 31:
Увеличить