Официальное опубликование правовых актов
ОФИЦИАЛЬНОЕ ОПУБЛИКОВАНИЕ
Приказ Министерства природопользования и экологии Владимирской области от 24.01.2023 № 6-н
"Об установлении зон санитарной охраны источников хозяйственно-питьевого водоснабжения Московской дирекции по теплоснабжению – СП ЦДТ – филиала ОАО "РЖД"
Номер опубликования: 3301202301240004
Дата опубликования: 24.01.2023
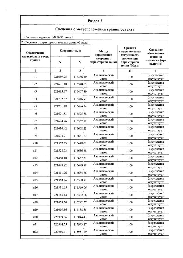
Страница №26 из 31:
Увеличить