Официальное опубликование правовых актов
ОФИЦИАЛЬНОЕ ОПУБЛИКОВАНИЕ
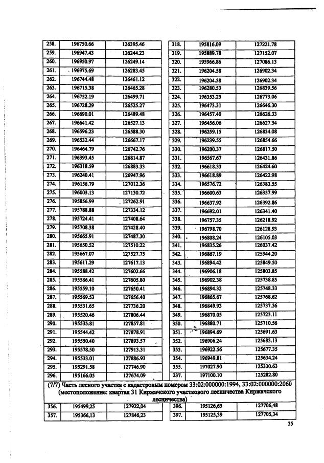
Постановление Департамента лесного хозяйства Владимирской области от 03.03.2021 № 04
"Об утверждении документации по изменению границ земель, на которых расположены леса в лесопарковых и зеленых зонах защитных лесов Киржачского лесничества Владимирской области"
Номер опубликования: 3301202103110003
Дата опубликования: 11.03.2021
Страница №37 из 187:
Увеличить