Официальное опубликование правовых актов
ОФИЦИАЛЬНОЕ ОПУБЛИКОВАНИЕ
Постановление Департамента строительства и архитектуры администрации Владимирской области от 30.03.2018 № 26
"Об утверждении документации по планировке территории, предусматривающей размещение (реконструкцию) тепловых сетей от Владимирской ТЭЦ-2 с подключением к ней тепловых нагрузок существующих котельных. Участок тепловой сети от ТК-189 СВ до УТ-5 по ул.Безыменского"
Номер опубликования: 3301201804040002
Дата опубликования: 04.04.2018
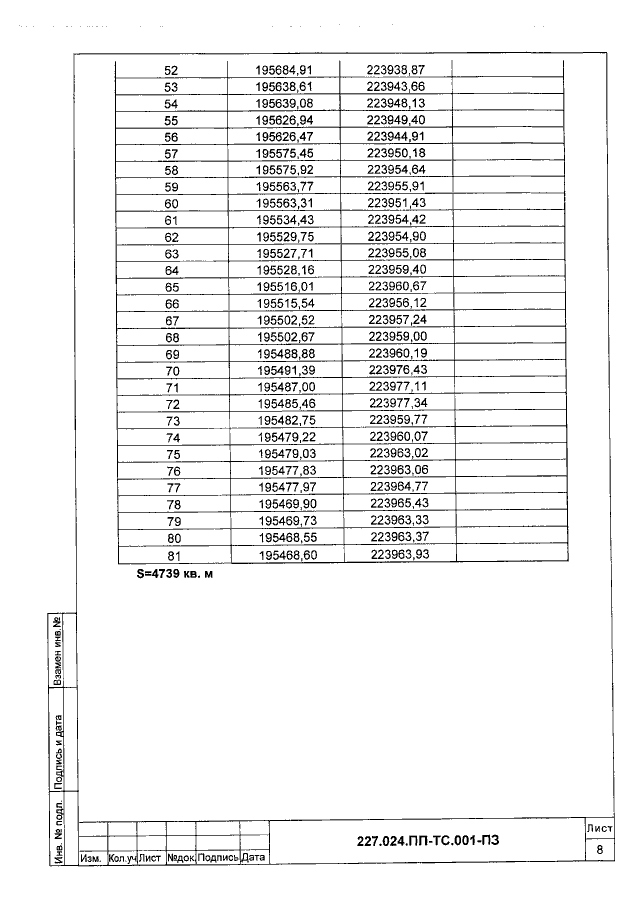
Страница №13 из 34:
Увеличить