Официальное опубликование правовых актов
ОФИЦИАЛЬНОЕ ОПУБЛИКОВАНИЕ
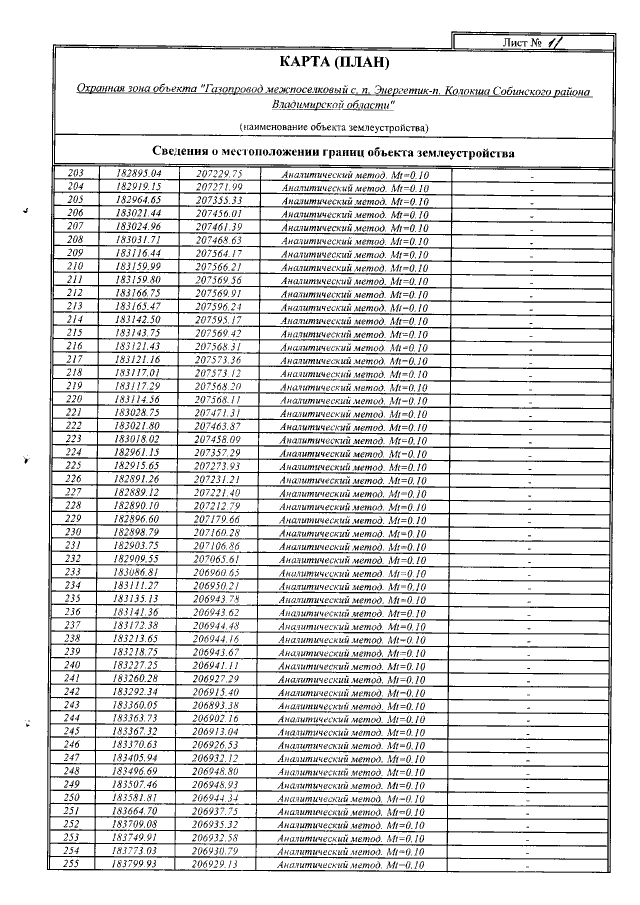
Постановление администрации Владимирской области от 05.03.2019 № 149
"Об утверждении границ охранных зон газораспределительных сетей"
Номер опубликования: 3300201903060001
Дата опубликования: 06.03.2019
Страница №35 из 171:
Увеличить