Официальное опубликование правовых актов
ОФИЦИАЛЬНОЕ ОПУБЛИКОВАНИЕ
Приказ Департамента природных ресурсов и экологии Брянской области от 24.03.2016 № 147
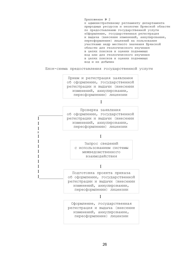
"Об утверждении административного регламента по предоставлению государственной услуги "Оформление, государственная регистрация и выдача (внесение изменений, аннулирование, переоформление) лицензий на пользование участками недр местного значения Брянской области для геологического изучения в целях поисков и оценки подземных вод, для добычи подземных вод или для геологического изучения в целях поисков и оценки подземных вод и их добычи"
Номер опубликования: 3201201603290001
Дата опубликования: 29.03.2016
Страница №27 из 27:
Увеличить