Официальное опубликование правовых актов
ОФИЦИАЛЬНОЕ ОПУБЛИКОВАНИЕ
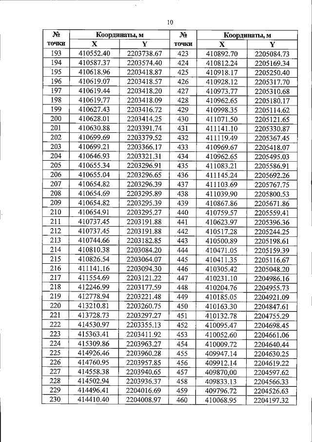
Постановление Губернатора Белгородской области от 28.12.2018 № 140
"О создании охранной зоны особо охраняемой природной территории регионального значения и утверждении Положения об охранной зоне природного парка регионального значения, расположенного на территории Новооскольского городского округа Белгородской области"
Номер опубликования: 3100201812290027
Дата опубликования: 29.12.2018
Страница №10 из 13:
Увеличить