Официальное опубликование правовых актов
ОФИЦИАЛЬНОЕ ОПУБЛИКОВАНИЕ
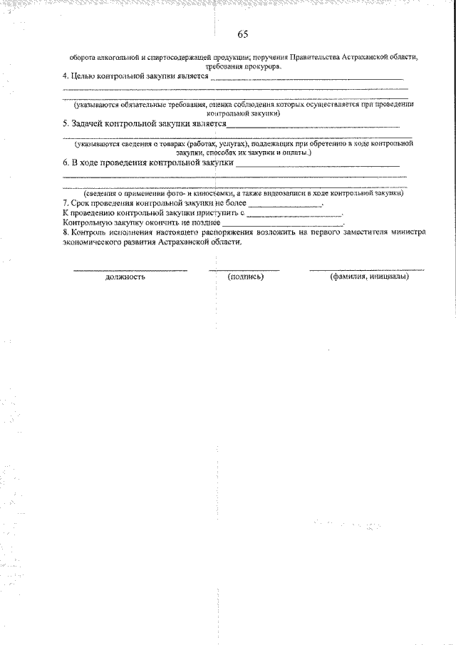
Постановление Министерства экономического развития Астраханской области от 08.04.2020 № 003-п
"Об административном регламенте министерства экономического развития Астраханской области осуществления регионального государственного контроля (надзора) в области розничной продажи алкогольной и спиртосодержащей продукции на территории Астраханской области"
Номер опубликования: 3001202004160002
Дата опубликования: 16.04.2020
Страница №68 из 74:
Увеличить