Официальное опубликование правовых актов
ОФИЦИАЛЬНОЕ ОПУБЛИКОВАНИЕ
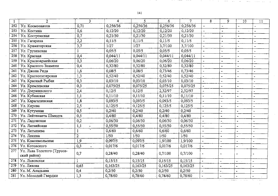
Постановление Правительства Астраханской области от 23.08.2018 № 355-П "О внесении изменения в постановление Правительства Астраханской области от 07.10.2014 № 427-П"
Номер опубликования: 3000201808300003
Дата опубликования: 30.08.2018
Страница №142 из 165:
Увеличить