Официальное опубликование правовых актов
ОФИЦИАЛЬНОЕ ОПУБЛИКОВАНИЕ
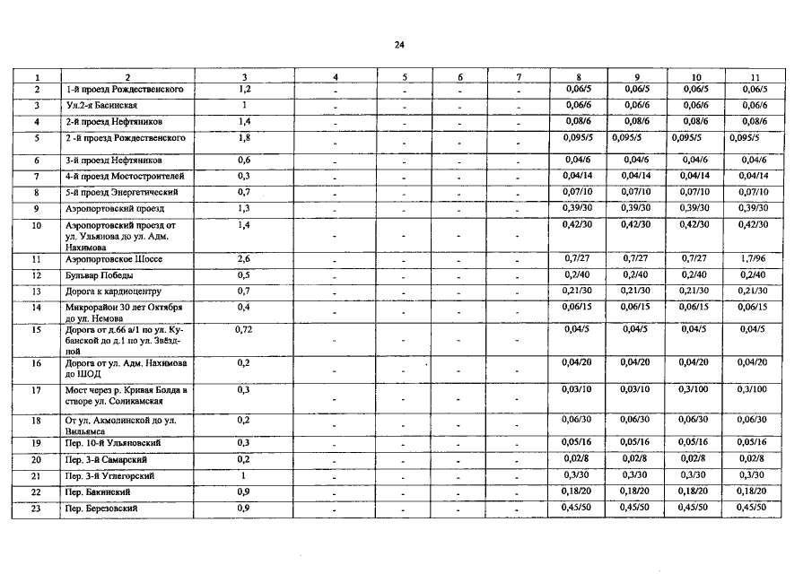
Постановление Правительства Астраханской области от 17.02.2017 № 49-П "О внесении изменений в постановление Правительства Астраханской области от 07.10.2014 № 427-П"
Номер опубликования: 3000201702220004
Дата опубликования: 22.02.2017
Страница №27 из 227:
Увеличить