Официальное опубликование правовых актов
ОФИЦИАЛЬНОЕ ОПУБЛИКОВАНИЕ
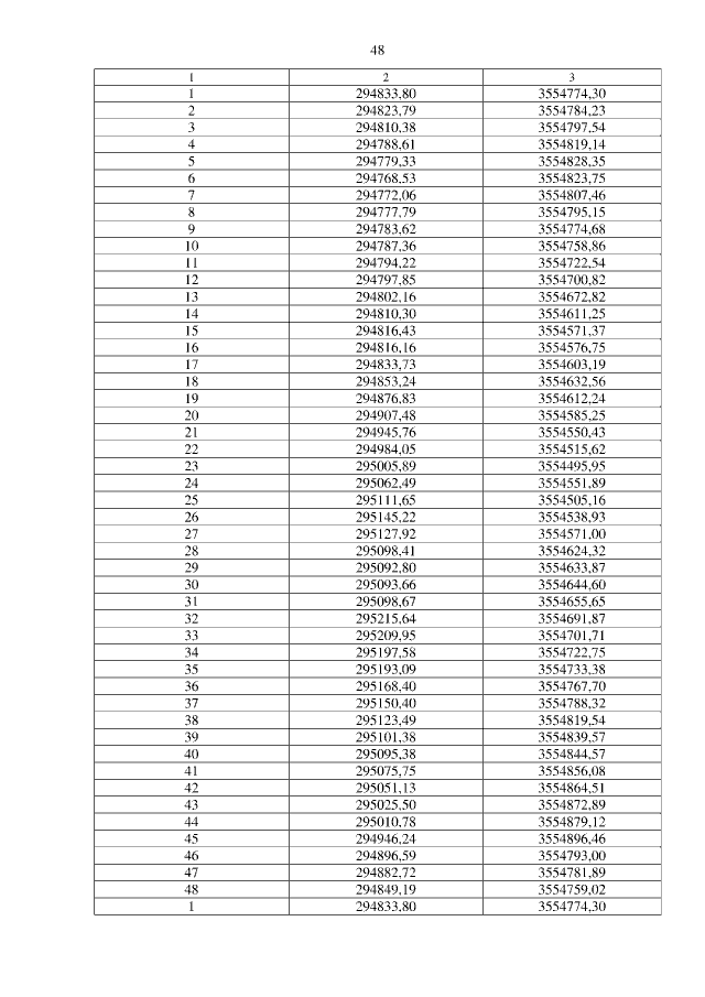
Постановление Правительства Архангельской области от 26.10.2020 № 700-пп
"Об утверждении границ объединенных зон охраны объектов культурного наследия (памятников истории и культуры) народов Российской Федерации, расположенных на территории города Сольвычегодска Архангельской области, режимов использования земель и требований к градостроительным регламентам в границах таких объединенных зон охраны"
Номер опубликования: 2900202010280003
Дата опубликования: 28.10.2020
Страница №50 из 104:
Увеличить