Официальное опубликование правовых актов
ОФИЦИАЛЬНОЕ ОПУБЛИКОВАНИЕ
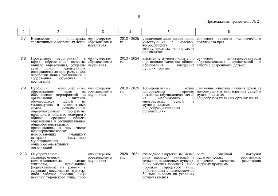
Постановление Правительства Хабаровского края от 30.12.2022 № 728-пр
"О внесении изменений в государственную программу Хабаровского края "Развитие образования в Хабаровском крае", утвержденную постановлением Правительства Хабаровского края от 5 июня 2012 г. № 177-пр"
Номер опубликования: 2700202212300030
Дата опубликования: 30.12.2022
Страница №47 из 135:
Увеличить