Официальное опубликование правовых актов
ОФИЦИАЛЬНОЕ ОПУБЛИКОВАНИЕ
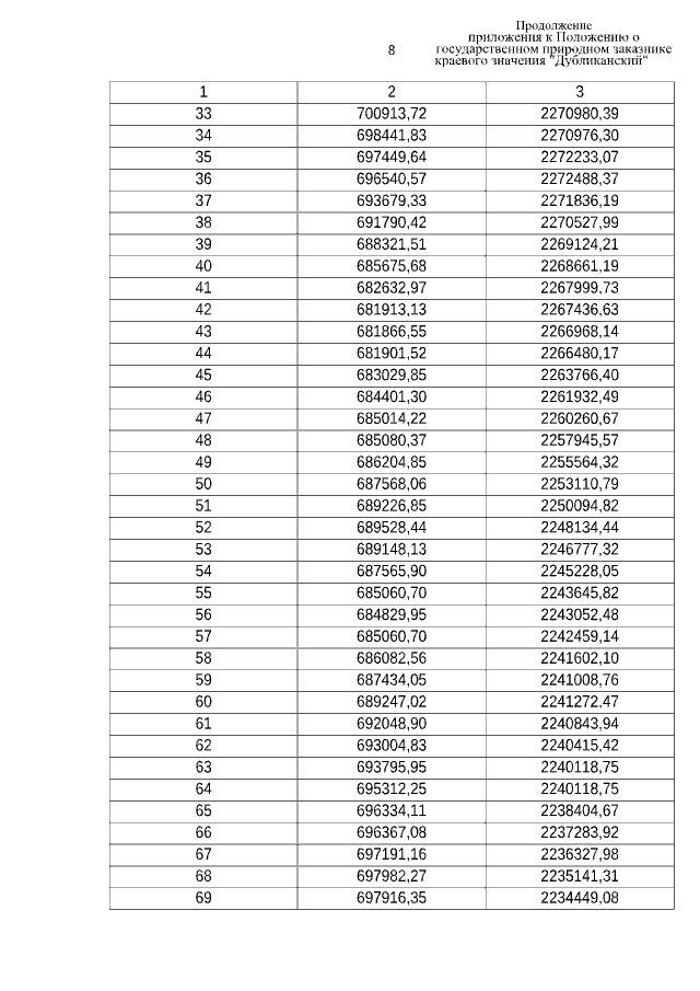
Постановление Правительства Хабаровского края от 26.01.2022 № 26-пр
"О внесении изменений в отдельные постановления Правительства Хабаровского края в области организации, охраны и использования особо охраняемых природных территорий краевого значения"
Номер опубликования: 2700202201310003
Дата опубликования: 31.01.2022
Страница №272 из 329:
Увеличить