Официальное опубликование правовых актов
ОФИЦИАЛЬНОЕ ОПУБЛИКОВАНИЕ
Постановление Правительства Хабаровского края от 29.12.2021 № 693-пр
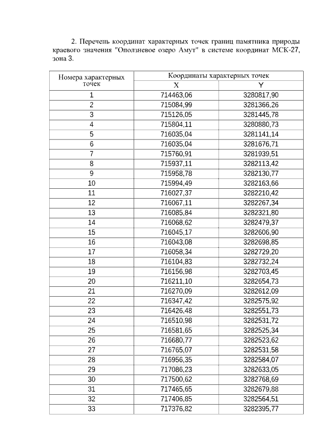
"О памятнике природы краевого значения "Оползневое озеро Амут"
Номер опубликования: 2700202112310006
Дата опубликования: 31.12.2021
Страница №8 из 11:
Увеличить