Официальное опубликование правовых актов
ОФИЦИАЛЬНОЕ ОПУБЛИКОВАНИЕ
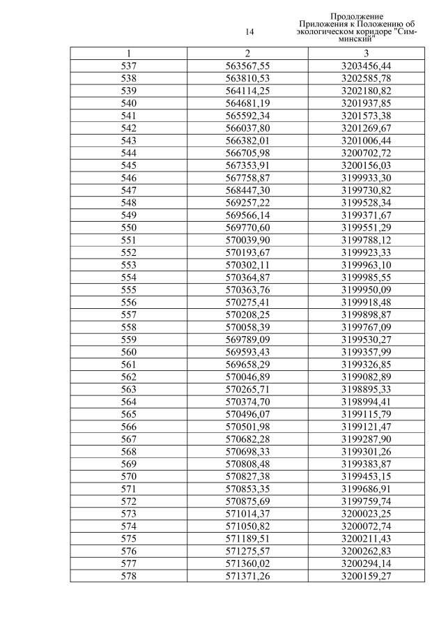
Постановление Правительства Хабаровского края от 28.12.2017 № 542-пр
"Об организации экологического коридора "Симминский" в Амурском муниципальном районе Хабаровского края"
Номер опубликования: 2700201801040003
Дата опубликования: 04.01.2018
Страница №18 из 33:
Увеличить