Официальное опубликование правовых актов
ОФИЦИАЛЬНОЕ ОПУБЛИКОВАНИЕ
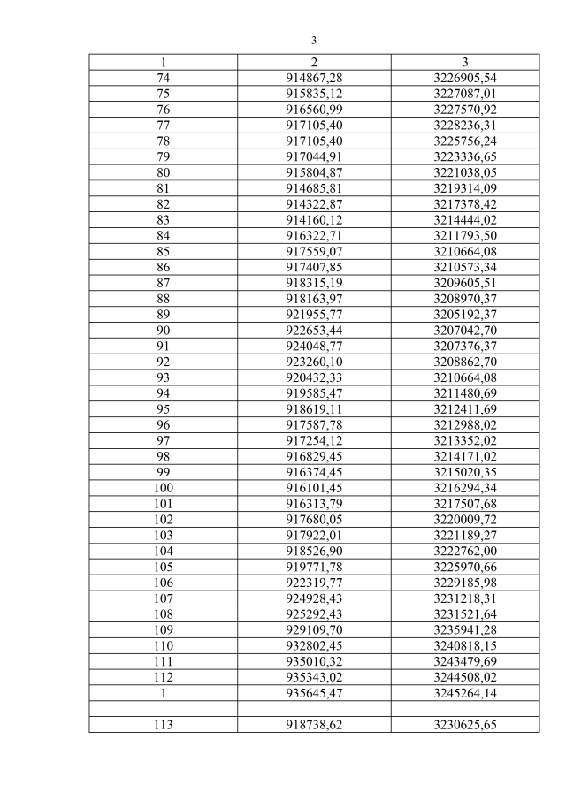
Постановление Правительства Хабаровского края от 28.12.2017 № 541-пр
"Об образовании государственного природного заказника краевого значения "Нимеленский" в муниципальном районе имени Полины Осипенко Хабаровского края"
Номер опубликования: 2700201801040002
Дата опубликования: 04.01.2018
Страница №8 из 18:
Увеличить