Официальное опубликование правовых актов
ОФИЦИАЛЬНОЕ ОПУБЛИКОВАНИЕ
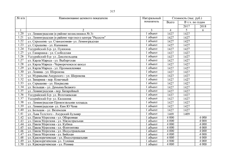
Постановление Правительства Хабаровского края от 11.09.2017 № 372-пр
"О внесении изменений в государственную программу Хабаровского края "Развитие транспортной системы Хабаровского края", утвержденную постановлением Правительства Хабаровского края от 05 мая 2012 г. № 146-пр"
Номер опубликования: 2700201709150001
Дата опубликования: 15.09.2017
Страница №405 из 424:
Увеличить