Официальное опубликование правовых актов
ОФИЦИАЛЬНОЕ ОПУБЛИКОВАНИЕ
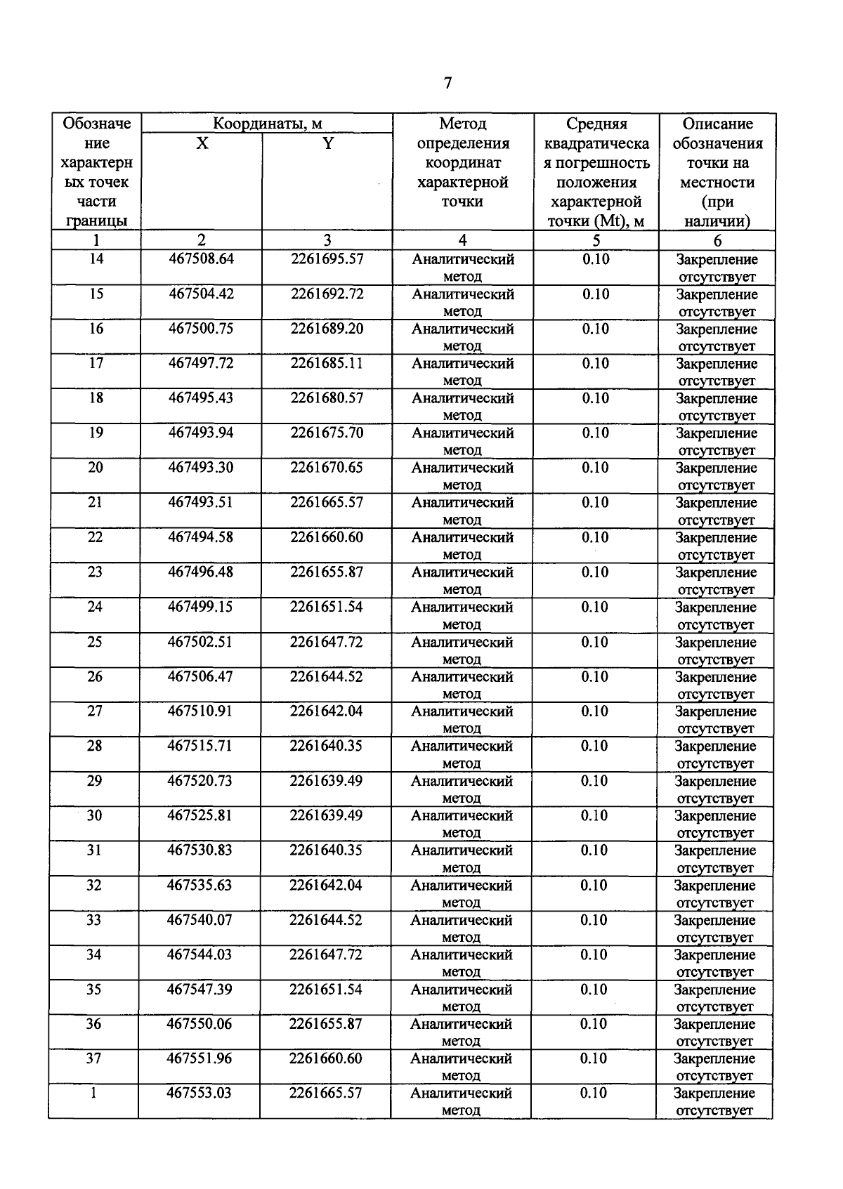
Постановление Правительства Приморского края от 13.12.2024 № 860-пп
"Об установлении зон санитарной охраны для водозаборной скважины № ПР-217, расположенной в с. Таежка Анучинского муниципального округа Приморского края"
Номер опубликования: 2501202412180003
Дата опубликования: 18.12.2024
Страница №9 из 18:
Увеличить