Официальное опубликование правовых актов
ОФИЦИАЛЬНОЕ ОПУБЛИКОВАНИЕ
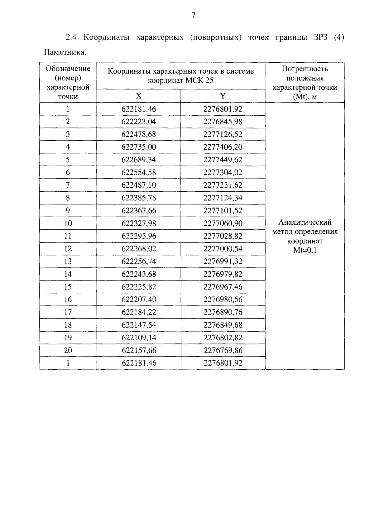
Постановление Правительства Приморского края от 12.07.2024 № 506-пп
"Об установлении зон охраны объекта культурного наследия (памятника истории и культуры) народов Российской Федерации регионального значения "Ружинское локомотивное депо, одно из старейших депо Дальневосточной железной дороги", 1945 год, утверждении требований к градостроительным регламентам в границах территорий данных зон"
Номер опубликования: 2501202407160017
Дата опубликования: 16.07.2024
Страница №9 из 17:
Увеличить