Официальное опубликование правовых актов
ОФИЦИАЛЬНОЕ ОПУБЛИКОВАНИЕ
Постановление Министерства имущественных и земельных отношений Приморского края от 20.03.2024 № 9-п
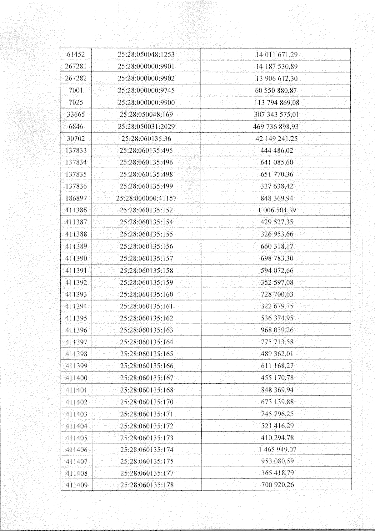
"О внесении изменений в постановление министерства имущественных и земельных отношений Приморского края от 2 ноября 2023 года № 111-п "Об утверждении результатов определения кадастровой стоимости объектов недвижимости, расположенных на территории Приморского края"
(Зарегистрирован 21.03.2024 № 1211)
Номер опубликования: 2501202403250005
Дата опубликования: 25.03.2024
Страница №6 из 7:
Увеличить