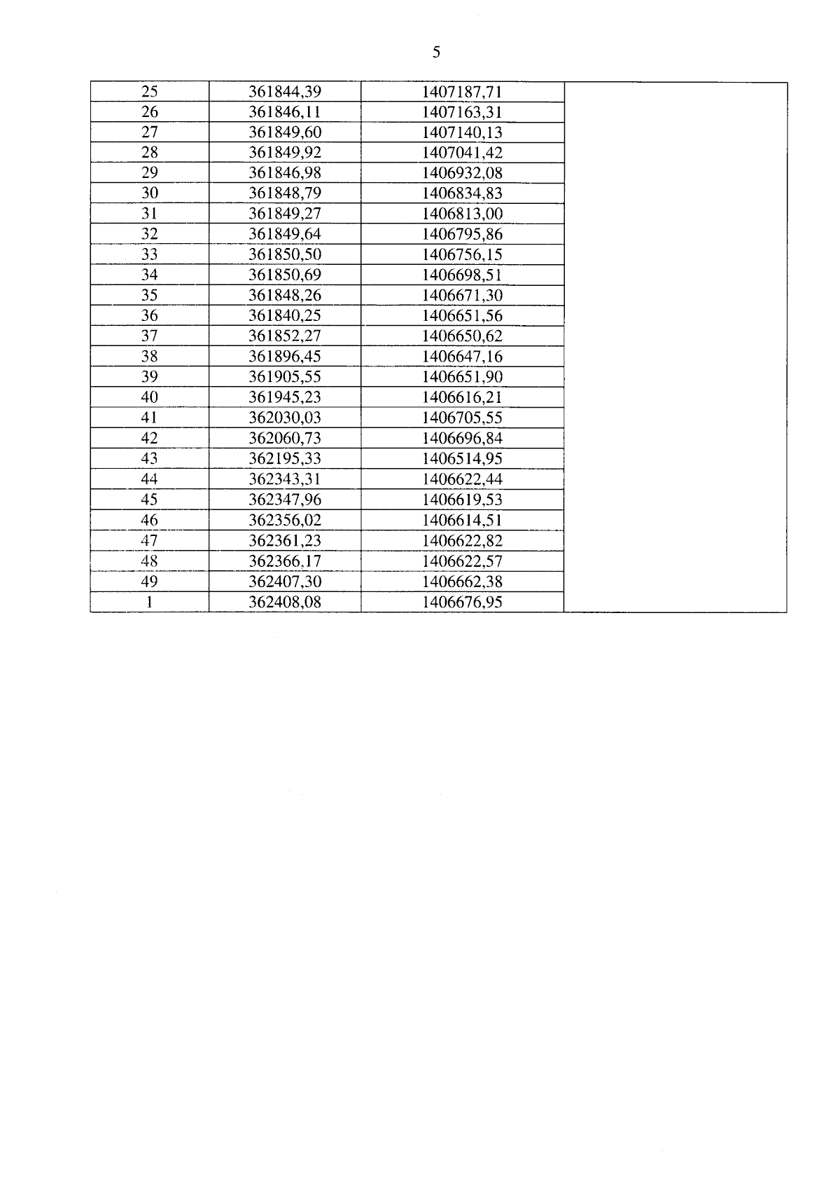
Постановление Правительства Приморского края от 26.02.2024 № 114-пп
"Об установлении зон охраны объекта культурного наследия федерального значения "Форт № 1", входящего в состав объекта культурного наследия федерального значения "Комплекс фортификационных сооружений Владивостокской крепости", 1889-1914 гг., утверждении требований к градостроительным регламентам в границах территории данных зон"
"Об установлении зон охраны объекта культурного наследия федерального значения "Форт № 1", входящего в состав объекта культурного наследия федерального значения "Комплекс фортификационных сооружений Владивостокской крепости", 1889-1914 гг., утверждении требований к градостроительным регламентам в границах территории данных зон"
Номер опубликования: 2501202402280010
Дата опубликования:
28.02.2024
