Официальное опубликование правовых актов
ОФИЦИАЛЬНОЕ ОПУБЛИКОВАНИЕ
Постановление Правительства Приморского края от 27.10.2023 № 737-пп
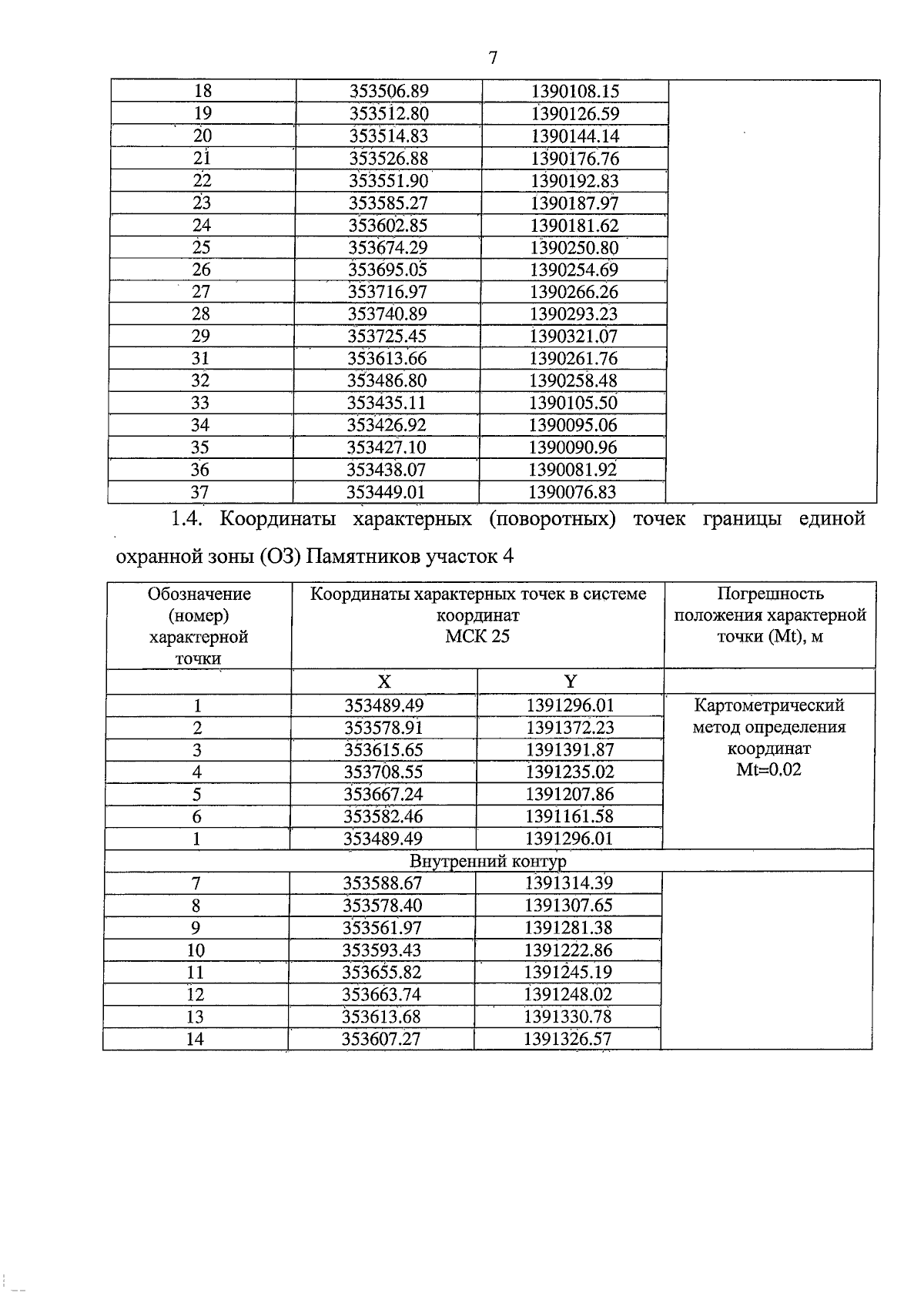
"Об установлении объединенной зоны охраны объектов культурного наследия федерального значения «Батарея Ларионовская на пике», «Батарея Ларионовская северная», «Батарея Ларионовская уступная», «Батарея Ларионовская южная», «Ларионовский запасной пороховой погреб», «Ларионовский расходный пороховой погреб», «Береговой противодесантный полукапонир № 16», «Береговой противодесантный полукапонир № 17», утверждении требований к градостроительным регламентам в границах территории данной зоны"
Номер опубликования: 2501202310300003
Дата опубликования: 30.10.2023
Страница №9 из 38:
Увеличить