Официальное опубликование правовых актов
ОФИЦИАЛЬНОЕ ОПУБЛИКОВАНИЕ
Постановление Правительства Приморского края от 22.11.2022 № 789-пп
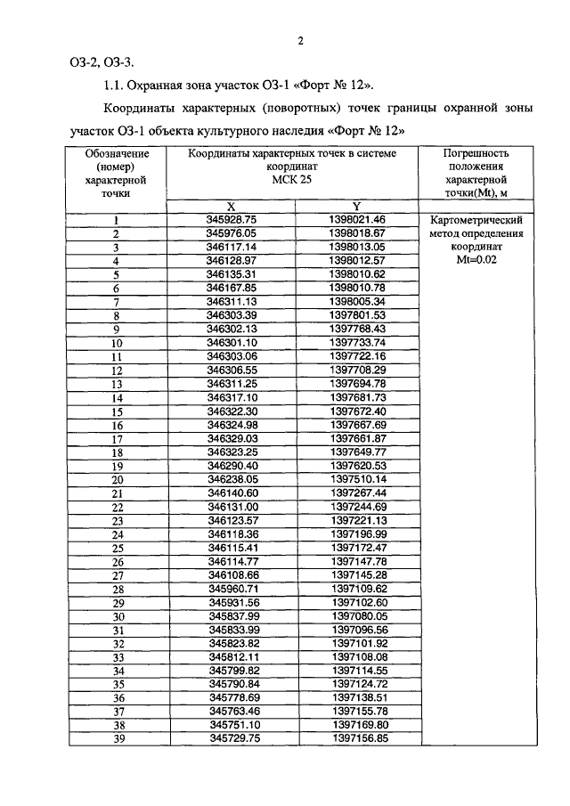
"Об установлении зон охраны объектов культурного наследия федерального значения "Форт № 12", "Береговая батарея № 984", "Береговой противодесантный капонир № 5", расположенных в районе горы и мыса Ахлестышева, о. Русский, в г. Владивостоке, утверждении требований к градостроительным регламентам в границах территорий данной зоны"
Номер опубликования: 2501202211230019
Дата опубликования: 23.11.2022
Страница №4 из 42:
Увеличить