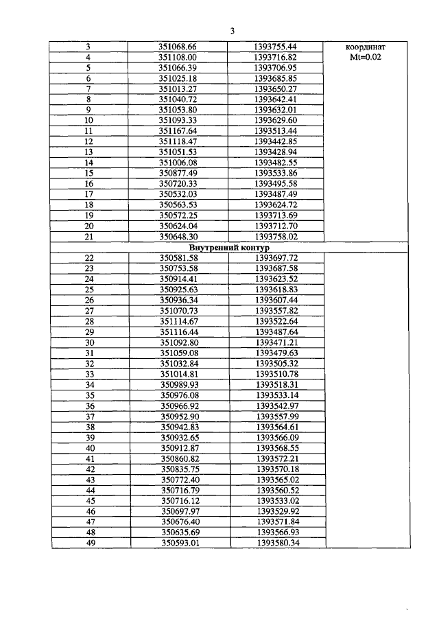
Постановление Правительства Приморского края от 22.11.2022 № 790-пп
"Об установлении зон охраны объектов культурного наследия "Пороховой погреб № 13", "Минно-пристрелочная станция Сибирской флотилии", утверждении требований к градостроительным регламентам в границах территорий данных зон"
"Об установлении зон охраны объектов культурного наследия "Пороховой погреб № 13", "Минно-пристрелочная станция Сибирской флотилии", утверждении требований к градостроительным регламентам в границах территорий данных зон"
Номер опубликования: 2501202211230001
Дата опубликования:
23.11.2022
