Официальное опубликование правовых актов
ОФИЦИАЛЬНОЕ ОПУБЛИКОВАНИЕ
Постановление Правительства Приморского края от 07.12.2020 № 1005-пп
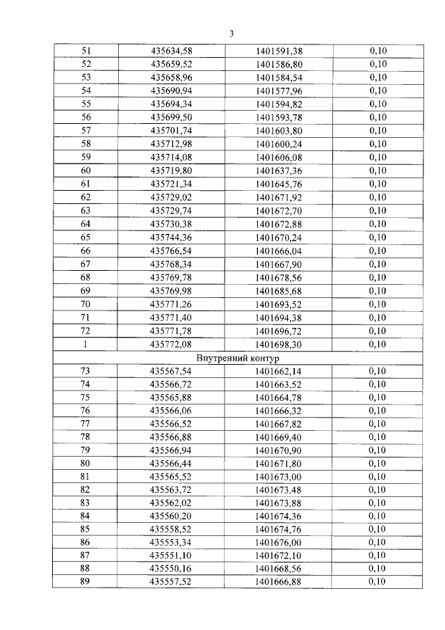
"Об установлении зон охраны объекта культурного наследия (памятника истории и культуры) народов Российской Федерации регионального значения "Вагоноремонтное депо станции Уссурийск", утверждении требований к градостроительным регламентам в границах территорий данных зон"
Номер опубликования: 2501202012080001
Дата опубликования: 08.12.2020
Страница №5 из 26:
Увеличить