Официальное опубликование правовых актов
ОФИЦИАЛЬНОЕ ОПУБЛИКОВАНИЕ
Приказ Инспекции по охране объектов культурного наследия Приморского края от 18.11.2019 № 284
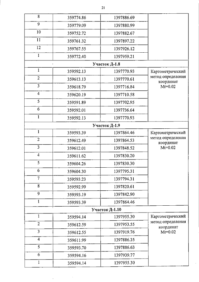
"Об установлении зон с особыми условиями использования на территории объекта культурного наследия регионального значения "Достопримечательное место "Экипажная слобода", начало XX в., расположенного по адресу (местонахождение объекта): Приморский край, г. Владивосток, южный склон горы Буссе между её южным и юго-восточным отрогами, между улицами Светланская, Всеволода Сибирцева, Шилкинская и утверждении требований к градостроительным регламентам в границах территорий данных зон"
Номер опубликования: 2501201911210003
Дата опубликования: 21.11.2019
Страница №21 из 70:
Увеличить