Распоряжение Губернатора Приморского края от 08.07.2024 № 226-рг
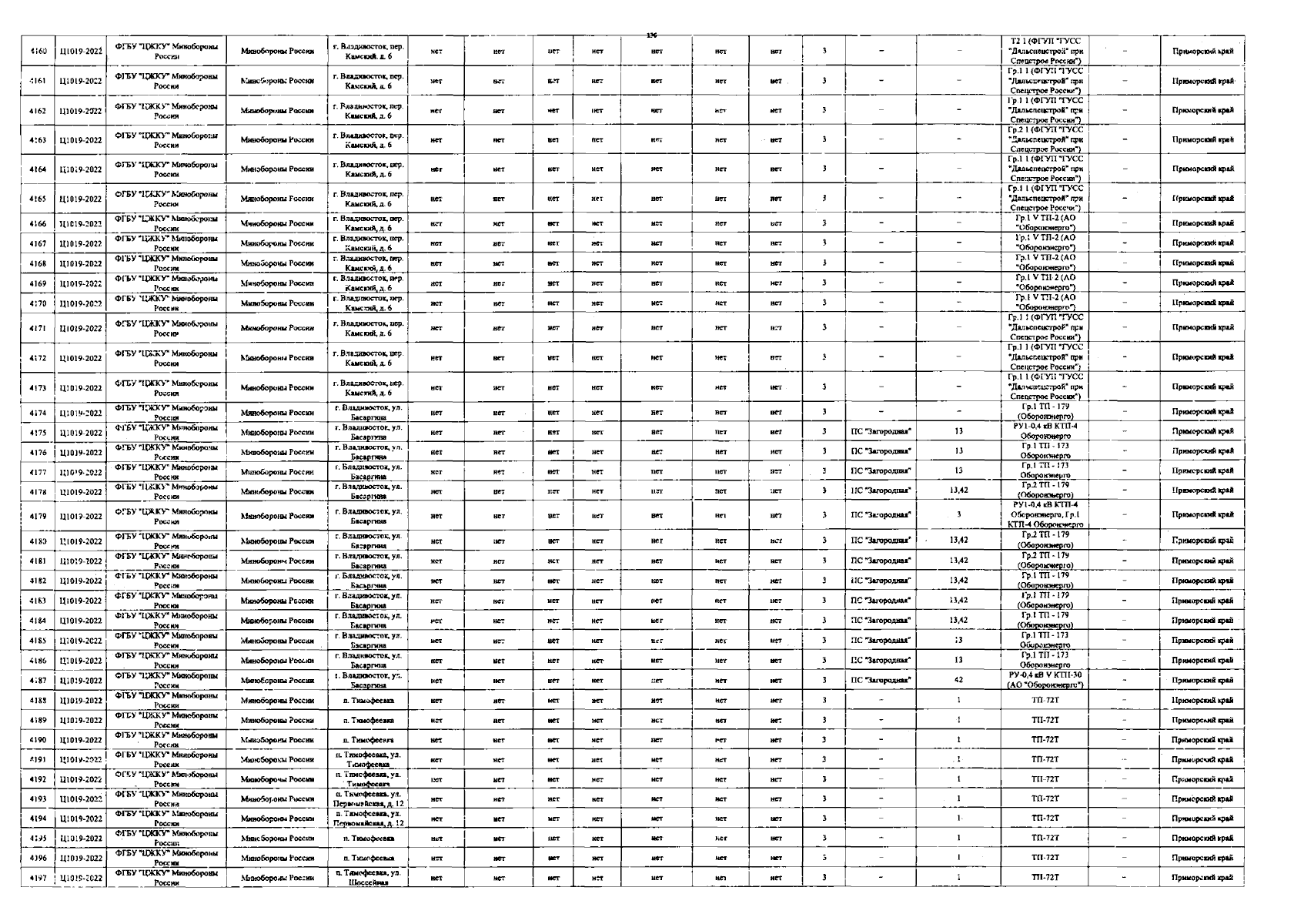
"О внесении изменений в распоряжение Губернатора Приморского края от 11 октября 2017 года № 157-рг "Об утверждении перечня потребителей электрической энергии (мощности), ограничение режима потребления электрической энергии которых может привести к экономическим, экологическим, социальным последствиям"
"О внесении изменений в распоряжение Губернатора Приморского края от 11 октября 2017 года № 157-рг "Об утверждении перечня потребителей электрической энергии (мощности), ограничение режима потребления электрической энергии которых может привести к экономическим, экологическим, социальным последствиям"
Номер опубликования: 2500202407100003
Дата опубликования:
10.07.2024
