Официальное опубликование правовых актов
ОФИЦИАЛЬНОЕ ОПУБЛИКОВАНИЕ
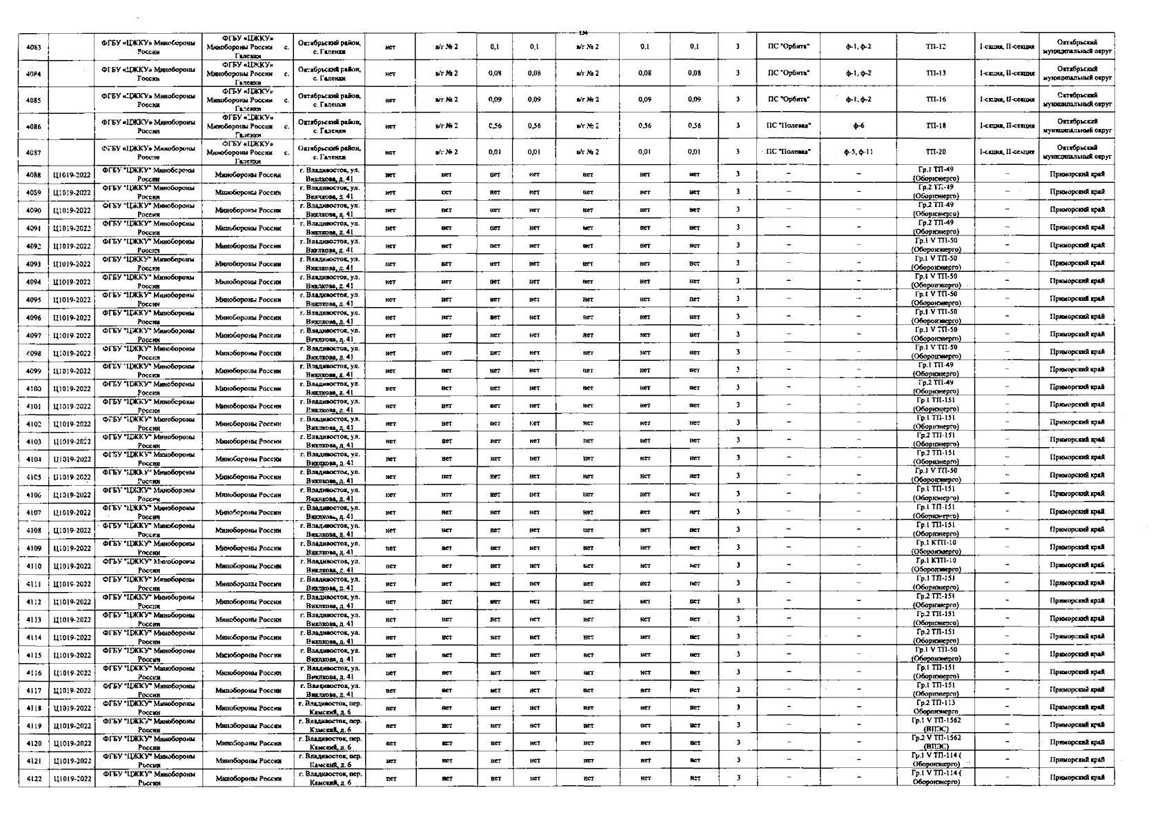
Распоряжение Губернатора Приморского края от 08.07.2024 № 226-рг
"О внесении изменений в распоряжение Губернатора Приморского края от 11 октября 2017 года № 157-рг "Об утверждении перечня потребителей электрической энергии (мощности), ограничение режима потребления электрической энергии которых может привести к экономическим, экологическим, социальным последствиям"
Номер опубликования: 2500202407100003
Дата опубликования: 10.07.2024
Страница №135 из 137:
Увеличить