Официальное опубликование правовых актов
ОФИЦИАЛЬНОЕ ОПУБЛИКОВАНИЕ
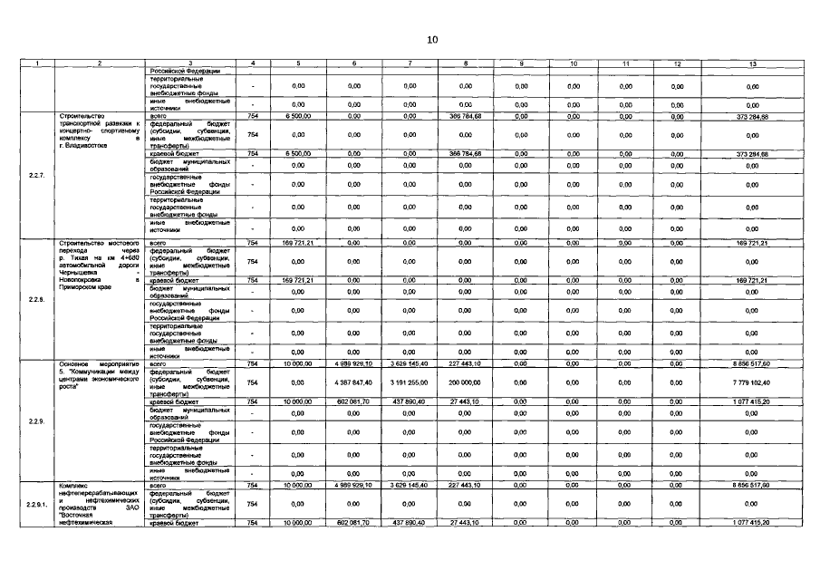
Постановление Администрации Приморского края от 27.12.2019 № 919-па
"Об утверждении государственной программы Приморского края "Развитие транспортного комплекса Приморского края" на 2020 – 2027 годы"
Номер опубликования: 2500201912300018
Дата опубликования: 30.12.2019
Страница №140 из 346:
Увеличить