Официальное опубликование правовых актов
ОФИЦИАЛЬНОЕ ОПУБЛИКОВАНИЕ
Постановление Администрации Приморского края от 20.12.2017 № 533-па
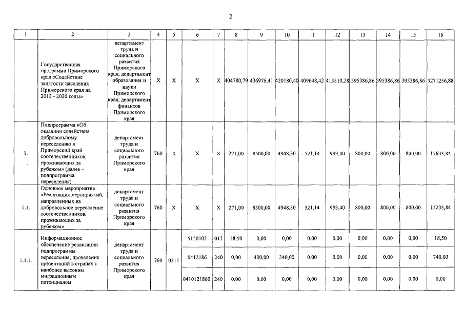
"О внесении изменений в постановление Администрации Приморского края от 7 декабря 2012 года № 384-па "Об утверждении государственной программы Приморского края "Содействие занятости населения Приморского края на 2013 - 2020 годы"
Номер опубликования: 2500201712210001
Дата опубликования: 21.12.2017
Страница №18 из 119:
Увеличить