Официальное опубликование правовых актов
ОФИЦИАЛЬНОЕ ОПУБЛИКОВАНИЕ
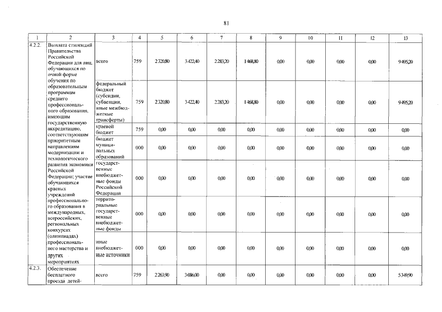
Постановление Администрации Приморского края от 07.12.2016 № 562-па
"О внесении изменений в постановление Администрации Приморского края от 7 декабря 2012 года № 395-па "Об утверждении государственной программы Приморского края "Развитие образования Приморского края" на 2013-2020 годы"
Номер опубликования: 2500201612080003
Дата опубликования: 08.12.2016
Страница №143 из 164:
Увеличить