Официальное опубликование правовых актов
ОФИЦИАЛЬНОЕ ОПУБЛИКОВАНИЕ
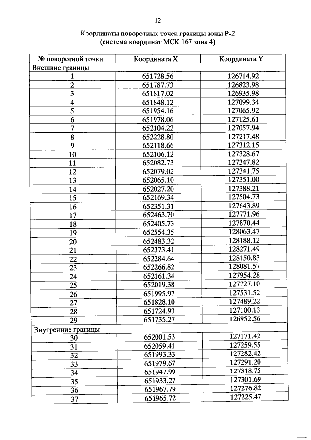
Постановление Правительства Красноярского края от 01.12.2020 № 831-п
"Об установлении зон охраны объектов культурного наследия федерального и регионального значения, расположенных в Емельяновском районе Красноярского края, утверждении требований к градостроительным регламентам в границах территорий данных зон"
Номер опубликования: 2400202012110002
Дата опубликования: 11.12.2020
Страница №14 из 67:
Увеличить