Официальное опубликование правовых актов
ОФИЦИАЛЬНОЕ ОПУБЛИКОВАНИЕ
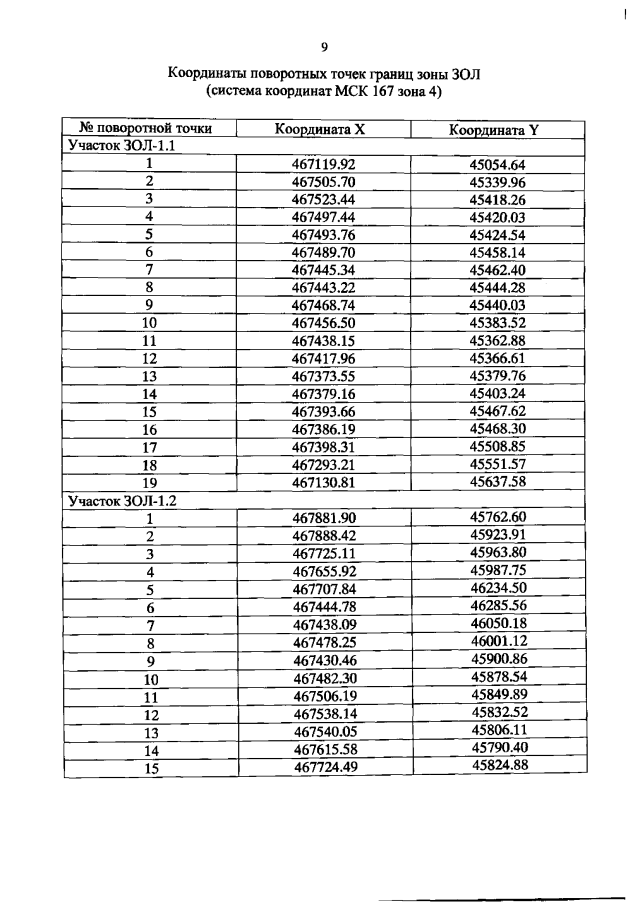
Постановление Правительства Красноярского края от 01.12.2020 № 830-п
"Об установлении зон охраны объекта культурного наследия регионального значения, "Церковь Михаила Архангела", рубеж ХIХ–ХХ вв., расположенного в Идринском районе Красноярского края, утверждении требований к градостроительным регламентам в границах территорий данных зон"
Номер опубликования: 2400202012090004
Дата опубликования: 09.12.2020
Страница №10 из 17:
Увеличить