Официальное опубликование правовых актов
ОФИЦИАЛЬНОЕ ОПУБЛИКОВАНИЕ
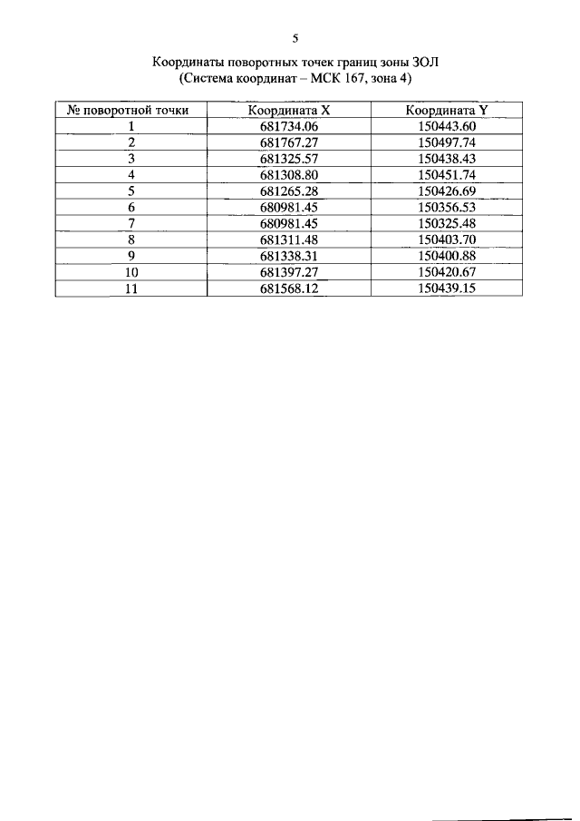
Постановление Правительства Красноярского края от 01.12.2020 № 827-п
"Об установлении зон охраны объекта культурного наследия регионального значения "Церковь Покровская", 1912 г., расположенного в Сухобузимском районе Красноярского края, утверждении требований к градостроительным регламентам в границах данных зон"
Номер опубликования: 2400202012090002
Дата опубликования: 09.12.2020
Страница №6 из 8:
Увеличить