Официальное опубликование правовых актов
ОФИЦИАЛЬНОЕ ОПУБЛИКОВАНИЕ
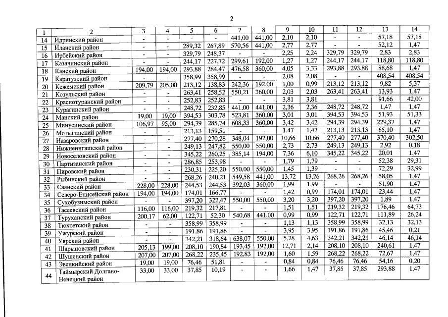
Постановление Правительства Красноярского края от 30.04.2019 № 210-п
"О внесении изменений в постановления Правительства Красноярского края по вопросам утверждения результатов определения кадастровой стоимости земель на территории Красноярского края"
Номер опубликования: 2400201905140002
Дата опубликования: 14.05.2019
Страница №5 из 6:
Увеличить