Официальное опубликование правовых актов
ОФИЦИАЛЬНОЕ ОПУБЛИКОВАНИЕ
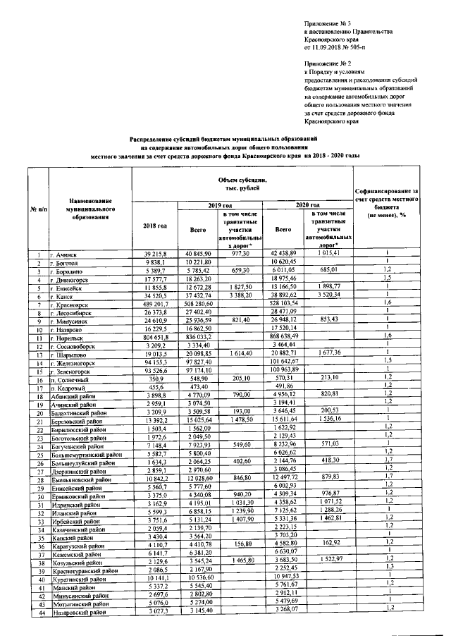
Постановление Правительства Красноярского края от 11.09.2018 № 505-п
"О внесении изменений в постановление Правительства Красноярского края от 30.09.2013 № 510-п "Об утверждении государственной программы Красноярского края "Развитие транспортной системы"
Номер опубликования: 2400201809170005
Дата опубликования: 17.09.2018
Страница №20 из 41:
Увеличить