Официальное опубликование правовых актов
ОФИЦИАЛЬНОЕ ОПУБЛИКОВАНИЕ
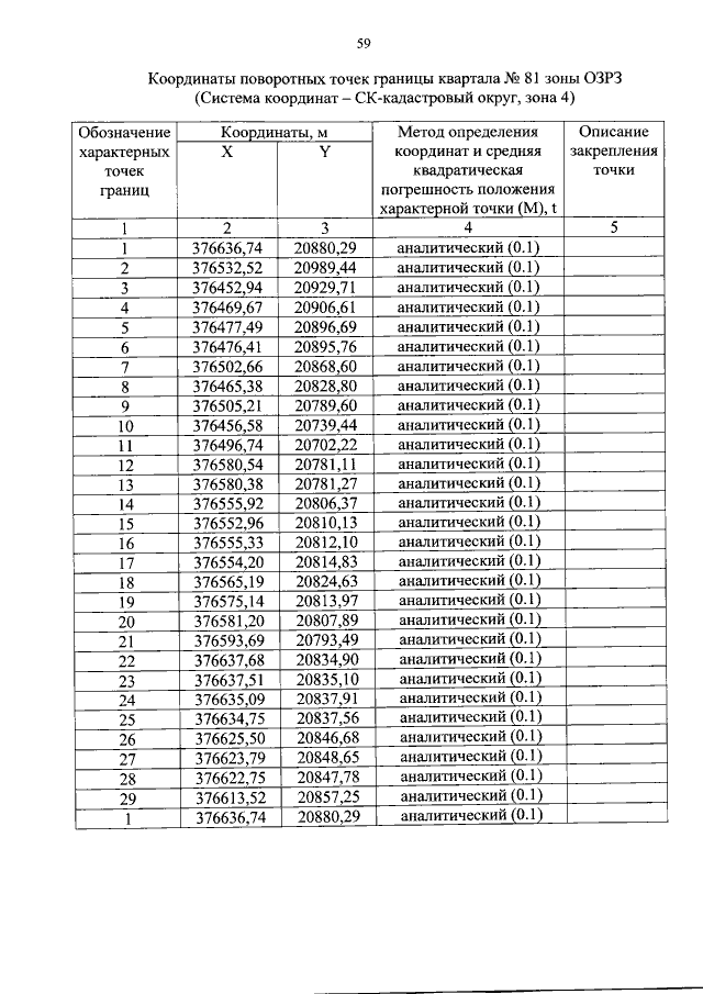
Постановление Правительства Красноярского края от 18.07.2017 № 401-п
"Об утверждении границ зон охраны объектов культурного наследия федерального и регионального значения, расположенных в г. Минусинске, особых режимов использования земель и требований к градостроительным регламентам в границах данных зон охраны"
Номер опубликования: 2400201707210006
Дата опубликования: 21.07.2017
Страница №60 из 129:
Увеличить