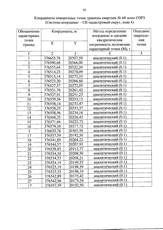
Постановление Правительства Красноярского края от 18.07.2017 № 401-п
"Об утверждении границ зон охраны объектов культурного наследия федерального и регионального значения, расположенных в г. Минусинске, особых режимов использования земель и требований к градостроительным регламентам в границах данных зон охраны"
"Об утверждении границ зон охраны объектов культурного наследия федерального и регионального значения, расположенных в г. Минусинске, особых режимов использования земель и требований к градостроительным регламентам в границах данных зон охраны"
Номер опубликования: 2400201707210006
Дата опубликования:
21.07.2017
