Официальное опубликование правовых актов
ОФИЦИАЛЬНОЕ ОПУБЛИКОВАНИЕ
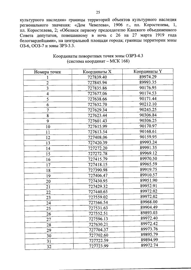
Постановление Правительства Красноярского края от 04.04.2017 № 185-п
"Об утверждении границ зон охраны объектов культурного наследия регионального значения, расположенных в городе Канске, режимов использования земель и требований к градостроительным регламентам в границах данных зон охраны"
Номер опубликования: 2400201704130006
Дата опубликования: 13.04.2017
Страница №26 из 77:
Увеличить